Variación del porcentaje de disociación en un ácido débil

, por F_y_Q

Demuestra que cuando la concentración de un ácido débil decrece en un factor de 10, su porcentaje de disociación aumenta en un factor de 10^{\frac{1}{2}} .

P.-S.

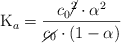
La constante de acidez de un ácido débil monoprótico, escrita en función del grado de disociación, tiene la forma:

\ce{K_a} = \frac{c_0\cancel{^2}\cdot \alpha^2}{\cancel{c_0}\cdot (1 - \alpha)}

Si es muy débil puedes hacer la aproximación: (1 - \alpha)  = 1 porque el grado de disociación es mucho menor que la unidad.

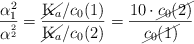
\ce{K_a} = c_0\cdot \alpha^2\ \to\ \alpha^2 = \frac{\ce{K_a}}{c_0}

Ahora impones la condición c_0(1) = 10c_0(2)

\frac{\alpha_1^2}{\alpha^_2^2}} = \frac{\cancel{\ce{K_a}}/c_0(1)}{\cancel{\ce{K_a}}/c_0(2)} = \frac{10\cdot \cancel{c_0(2)}}{\cancel{c_0(1)}}

Si despejas:

\fbox{\color[RGB]{192,0,0}{\bm{\alpha_1 = \sqrt{10}\cdot \alpha_2}}}