Variación de la velocidad en un MRUA (3581)

, por F_y_Q

Un objeto lleva una rapidez de 11\ m\cdot s^{-1} cuando acelera a razón de 0.8\ m\cdot s^{-2}. Calcula el incremento de la rapidez en los primeros 60 segundos y la rapidez final en ese instante.

P.-S.

La aceleración es, por definición, la variación de la rapidez entre el tiempo empleado en la variación:

\color[RGB]{2,112,20}{\bm{a = \frac{\Delta v}{t}}}

Despejas el valor de la variación de la velocidad, sustituyes y calculas:

{\color[RGB]{2,112,20}{\bm{\Delta v = a\cdot t}}} = 0.8\ \frac{m}{s\cancel{^2}}\cdot 60\ \cancel{s} = \fbox{\color[RGB]{192,0,0}{\bm{48\ \frac{m}{s}}}}


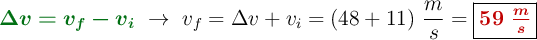
La rapidez final la obtienes a partir de la variación de la velocidad:

{\color[RGB]{2,112,20}{\bm{\Delta v = v_f - v_i}}}\ \to\ v_f = \Delta v + v_i = (48 + 11)\ \frac{m}{s} = \fbox{\color[RGB]{192,0,0}{\bm{59\ \frac{m}{s}}}}