Variación de la energía potencial al variar la masa (945)

, por F_y_Q

Deduce cómo variaría la energía potencial gravitatoria de un sistema si, estando en la misma posición, variara su masa al doble de la masa inicial.

P.-S.

La energía potencial gravitatoria es proporcional a la masa del sistema, tal y como se puede ver en la ecuación:

E_P  = m\cdot \cdot g\cdot h

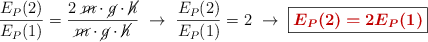
Si se aumenta la masa el doble y comparas las energías potenciales:

\frac{E_P(2)}{E_P(1)} = \frac{2\ \cancel{m}\cdot \cancel{g}\cdot \cancel{h}}{\cancel{m}\cdot \cancel{g}\cdot \cancel{h}}\ \to\ \frac{E_P(2)}{E_P(1)} = 2\ \to\ \fbox{\color[RGB]{192,0,0}{\bm{E_P(2) = 2E_P(1)}}}


La energía potencial sería el doble.