Energía cinética de un corredor y variación al cambiar la velocidad (6312)

, por F_y_Q

Calcula la energía cinética en estas situaciones:

a) Un corredor de 55 kg de masa que tarda 10 s en recorrer 120 m.

b) Si el mismo corredor recorre 240 m en el mismo tiempo, ¿será su energía cinética el doble?

P.-S.

a) Para poder calcular la energía cinética del corredor necesitas calcular antes su velocidad:

v = \frac{d}{t} = \frac{120\ m}{10\ s} = \color[RGB]{0,112,192}{\bm{12\ \frac{m}{s}}}

Su energía cinética es:

E_C = \frac{1}{2}m\cdot v^2 = \frac{55\ kg}{2}\cdot 12^2\ \frac{m^2}{s^2} = \fbox{\color[RGB]{192,0,0}{\bm{3\ 960\ J}}}


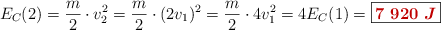
b) Al recorrer el doble de distancia en el mismo tiempo, la velocidad del corredor es el doble. Como la energía cinética depende del cuadrado de la velocidad, su nueva energía cinética es cuatro veces mayor que la anterior.

Lo puedes comprobar de manera muy simple:

v_2 = \frac{2d}{t} = 2v_1

E_C(2) = \frac{m}{2}\cdot v_2^2 = \frac{m}{2}\cdot (2v_1)^2 = \frac{m}{2}\cdot 4v_1^2 = 4E_C(1) = \fbox{\color[RGB]{192,0,0}{\bm{7\ 920\ J}}}