Variación de la energía potencial al variar la altura (946)

, por F_y_Q

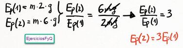
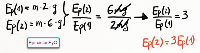
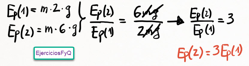
Un objeto de masa m está situado a una altura de 2 m. ¿Cuánto aumentará su energía potencial gravitatoria si lo elevamos hasta los 6 m?

P.-S.

Será el triple.

RESOLUCIÓN DEL EJERCICIO EN VÍDEO.

Si haces click sobre la miniatura puedes ver la resolución del ejercicio en papel con más detalle: