Eficiencia energética de un sistema de calefacción por radiación (7943)

, por F_y_Q

Una calefacción por radiación consume 4.3\ \textstyle{L\over h} de combustible, cuya densidad es de 0.88\ \textstyle{g\over cm^3} , y tiene un calor poder calorífico específico de 4.64\cdot 10^4\ \textstyle{kJ\over kg}. Si se transfieren 1.24\cdot 10^5\ \textstyle{kJ\over h} de calor al aire, ¿cuál es la eficiencia energética del sistema?

P.-S.

Para aclarar los cálculos es buena idea tomar como base de cálculo una hora de funcionamiento del sistema. Es necesario hacerlo porque el calor transferido y el flujo de combustible están dados por horas.

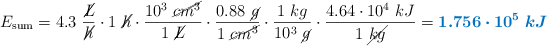
Lo primero será calcular el calor que se suministra al sistema por medio del combustible. Es necesario usar los factores de conversión con soltura:

E_{\text{sum}} = 4.3\ \frac{\cancel{L}}{\cancel{h}}\cdot 1\ \cancel{h}\cdot \frac{10^3\ \cancel{cm^3}}{1\ \cancel{L}}\cdot \frac{0.88\ \cancel{g}}{1\ \cancel{cm^3}}\cdot \frac{1\ kg}{10^3\ \cancel{g}}\cdot \frac{4.64\cdot 10^4\ kJ}{1\ \cancel{kg}} = \color[RGB]{0,112,192}{\bm{1.756\cdot 10^5\ kJ}}

El dato de la energía transferida es inmediato y coincide con el dato en el enunciado porque has tomado una hora como base de cálculo. Solo queda hacer la eficiencia, expresada en porcentaje:

\eta = \frac{E_{\text{trans}}}{E_{\text{sum}}}\cdot 100 = \frac{1.24\cdot \cancel{10^5\ kJ}}{1.756\cdot \cancel{10^5\ kJ}}\cdot 100 = \fbox{\color[RGB]{192,0,0}{\bf 70.6\ \%}}