Variación de entropía en expansión isotérmica de una gas (2779)

, por F_y_Q

Un mol de gas ideal que se encuentra inicialmente a 25\ ^oC se expande isotérmicamente y reversiblemente desde 20 hasta 40 L. Calcula el cambio de entropía del proceso.

P.-S.

Partes de la expresión para la variación de entropía en un proceso isotérmico y reversible:

dS = \frac{dQ_{rev}}{T}\ \to\ \color[RGB]{2,112,20}{\bm{dS = \frac{P\cdot dV}{T}}}

Expresas la presión a partir de la ecuación de los gases ideales:

\color[RGB]{2,112,20}{\bm{P = \frac{nRT}{V}}}

Integras y llegas a la expresión:

\color[RGB]{2,112,20}{\bm{\Delta S = n\cdot R\cdot ln\ {\frac{V_2}{V_1}}}

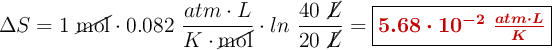
Sustituyes los datos del enunciado y calculas:

\Delta S = 1\ \cancel{\text{mol}}\cdot 0.082\ \frac{atm\cdot L}{K\cdot \cancel{\text{mol}}}\cdot ln\ {\frac{40\ \cancel{L}}{20\ \cancel{L}} = \fbox{\color[RGB]{192,0,0}{\bm{5.68\cdot 10^{-2}\ \frac{atm\cdot L}{K}}}}


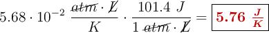
Si lo expresas en julios:

5.68\cdot 10^{-2}\ \frac{\cancel{atm}\cdot \cancel{L}}{K}\cdot \frac{101.4\ J}{1\ \cancel{atm}\cdot \cancel{L}} = \fbox{\color[RGB]{192,0,0}{\bm{5.76\ \frac{J}{K}}}}