Variación de energía interna en contracción de sistema 0001

, por F_y_Q

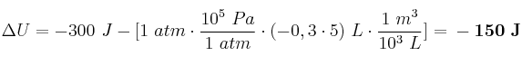
Cuando 5 L de cierto gas se contraen un $30\%$ de su volumen inicial ceden 300 J a los alrededores. Sabiendo que el proceso es a una presión constante de 1 atm, ¿cuál será la variación de la energía interna del sistema?

P.-S.

Debemos aplicar el Primer Principio de la Termodinámica pero teniendo cuidado con las unidades y con el criterio de signos: \Delta U = Q + W:

\Delta U = -300\ J - [1\ atm\cdot \frac{10^5\ Pa}{1\ atm}\cdot (-0,3\cdot 5)\ L\cdot \frac{1\ m^3}{10^3\ L}] = \bf -150\ J