Valor de una tercera carga para que el campo total sea cero (7398)

, por F_y_Q

Las tres partículas cargadas que se encuentran en el dibujo adjunto se encuentran a 3.0 cm del punto P. Se sabe que las cargas de las partículas 1 y 2 son iguales, esto es, q_1 = q_2 =  -2.0\ \mu C y que el campo eléctrico resultante de las tres partículas es nulo en dicho punto.

a) Encuentra el campo eléctrico resultante de las partículas 1 y 2.

b) Calcula valor y signo de la carga eléctrica de la tercera partícula.

P.-S.

Debes tener en cuenta que la condición esencial es que la suma de los campos eléctricos de las cargas ha de ser cero. Como conoces el signo de las cargas de abajo, los vectores de sus campos eléctricos, que están pintados en violeta, apuntan hacia abajo y eso hace que el vector del campo de la carga de arriba debe apuntar hacia arriba, pintado en verde:


a) Si descompones los vectores de los campos \vec _E_1 y \vec E _2 y en las componentes vertical y la horizontal:

\left \vec E_1 = - E_1\cdot cos\ 45\ \vec i - E_1\cdot sen\ 45\ \vec j \atop \vec E_2 = - E_2\cdot cos\ 45\ \vec i - E_2\cdot sen\ 45\ \vec j \right \}\ \to\ \color[RGB]{2,112,20}{\bm{\vec{E}_{12} = - (E_1 + E_2)\cdot cos\ 45\ \vec j}}

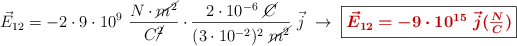
Como las cargas son iguales puedes calcular el campo de manera fácil:

\vec{E}_{12} = -2\cdot 9\cdot 10^9\ \frac{N\cdot \cancel{m^2}}{C\cancel{^2}}\cdot \frac{2\cdot 10^{-6}\ \cancel{C}}{(3\cdot 10^{-2})^2\ \cancel{m^2}}\ \vec j\ \to\ \fbox{\color[RGB]{192,0,0}{\bm{\vec{E}_{12} = - 9\cdot 10^{15}\ \vec j (\frac{N}{C})}}}


b) El campo eléctrico de la carga 3 debe ser del mismo valor que el calculado en el apartado anterior, pero de sentido contrario. Eso obliga que la carga 3 sea negativa:

E_3 = K\cdot \frac{q_3}{d^2}\ \to\ q_3 = 9\cdot 10^{15}\ \frac{\cancel{N}}{\cancel{C}}\cdot \frac{(3\cdot 10^{-2})^2\ \cancel{m^2}}{9\ 10^9\ \frac{\cancel{N}\cdot \cancel{m^2}}{C\cancel{^2}}}\ \to\ \fbox{\color[RGB]{192,0,0}{\bm{q_3 = - 9\cdot 10^2\ C}}}