Valor de las cargas en los vértices de un triángulo rectángulo sabiendo el campo resultante (6619)

, por F_y_Q

En dos vértices de un triángulo rectángulo se ubican las partículas con cargas q _1 y q _2 , tal como muestra la figura. En el vértice libre se ha representado el campo eléctrico total , cuyo valor es E_T = 2.6\cdot 10^5\ \textstyle{N\over C} , siendo paralelo a la recta que une a las dos partículas. Determina el valor y el signo de cada una de las cargas q _1 y q _2 .

P.-S.

En primer lugar es necesario hacer una representación vectorial de cómo deben ser los campos de las cargas 1 y 2 para que la resultante sea el vector dado en color rojo. El esquema queda como puedes ver en la siguiente imagen:

(Si clicas en la miniatura puedes ver el esquema con más detalle).

Puedes calcular el ángulo que forma \vec E_2 con la horizontal a partir del seno del ángulo:

sen\ \alpha = \frac{3\ \cancel{cm}}{6\ \cancel{cm}}\ \to\ \alpha = arcsen\ 0.5 = \color[RGB]{2,112,20}{\bf 30^o

La primera conclusión que puedes sacar hace referencia a los signos de las cargas. La carga 1 es positiva \fbox{\color[RGB]{192,0,0}{\bf (+)q_1}} mientras que la carga 2 es negativa \fbox{\color[RGB]{192,0,0}{\bf (-)q_2}}.

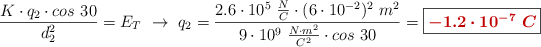
También se observa en el esquema que la componente \vec E_{2x} tiene que ser igual al campo \vec E_T:

\frac{K\cdot q_2\cdot cos\ 30}{d_2^2} = E_T\ \to\ q_2 = \frac{2.6\cdot 10^5\ \frac{N}{C}\cdot (6\cdot 10^{-2})^2\ m^2}{9\cdot 10^9\ \frac{N\cdot m^2}{C^2}\cdot cos\ 30} = \fbox{\color[RGB]{192,0,0}{\bm{- 1.2\cdot 10^{-7}\ C}}}


La componente \vec E_{2y} tiene que ser igual a \vec E _1, como puedes ver en el esquema:

\cancel{K}\cdot \frac{q_1}{d_1^2} = \cancel{K}\cdot \frac{q_2\cdot sen\ 30}{d_2^2}\ \to\ q_1 = \frac{1.2\cdot 10^{-7}\ C\cdot (3\cdot 10^{-2})^2\ \cancel{m^2}\cdot 0.5}{(6\cdot 10^{-2})^2\ \cancel{m^2}} = \fbox{\color[RGB]{192,0,0}{\bm{1.5\cdot 10^{-8}\ C}}}