Uso de factores de conversión para conocer las ppm de nitrógeno en estiércol (2625)

, por F_y_Q

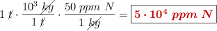
¿Cuántas ppm de N hay en una tonelada de estiércol, si se sabe que en un kg hay 50 ppm de N?

P.-S.

Puedes resolver el problema usando dos factores de conversión; uno para convertir la masa de estiércol a kg y otro para la concentración de N:

1\ \cancel{t}\cdot \frac{10^3\ \cancel{kg}}{1\ \cancel{t}}\cdot \frac{50\ ppm\ N}{1\ \cancel{kg}} = \fbox{\color[RGB]{192,0,0}{\bm{5\cdot 10^4\ ppm\ N}}}