Transformación de la energía cinética en potencial 0001

, por F_y_Q

Una piedra se lanza verticalmente hacia arriba y se eleva a una altura de 20 metros. ¿Con qué velocidad fue lanzada?

P.-S.

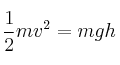
Suponiendo que no existe rozamiento, la energía cinética al principio del lanzamiento tendrá que ser la misma que la energía potencial cuando el objeto alcanza la altura máxima, es decir:

\frac{1}{2}mv^2 = mgh


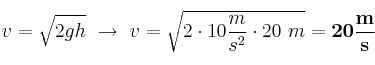
Podemos simplificar la masa y despejar el valor de la velocidad y tendremos:

v = \sqrt{2gh}\ \to\ v = \sqrt{2\cdot 10\frac{m}{s^2}\cdot 20\ m} = \bf 20\frac{m}{s}