Transformación de energía potencial gravitatoria en energía cinética 0001

, por F_y_Q

¿Qué velocidad tendrá un carrito de una montaña rusa en el punto B (que está a una altura de 40 m) si parte del punto A (a 60 m de altura) y no existe rozamiento durante el trayecto?

Considera que la velocidad en A es cero y g = 9,8\ m/s^2

P.-S.

La diferencia de altura entre el punto A y el punto B implica una transformación de energía potencial gravitatoria en energía cinética. Debemos igualar esa variación de energía potencial a la energía cinética:

\Delta E_p = E_c\ \to\ mg(h_B - h_A) = \frac{1}{2}mv^2


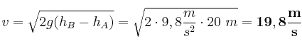
La masa del carrito es irrelevante porque podemos simplificarla en la ecuación anterior. Despejando la velocidad:

v = \sqrt{2g(h_B - h_A)} = \sqrt{2\cdot 9,8\frac{m}{s^2}\cdot 20\ m} = \bf 19,8\frac{m}{s}