Transformación de energía potencial en cinética 0001

, por F_y_Q

¿Con qué velocidad llega un cuerpo que deja caer desde un altura de 80 m al suelo?

P.-S.

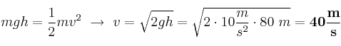
Suponiendo que no hay rozamiento, la energía mecánica debe conservarse. En ese caso la energía potencial arriba debe ser igual que la energía cinética al llegar al suelo. Basta con igualar ambas expresiones:

mgh = \frac{1}{2}mv^2\ \to\ v = \sqrt{2gh} = \sqrt{2\cdot 10\frac{m}{s^2}\cdot 80\ m} = \bf 40\frac{m}{s}