Trabajo realizado en un trayecto 0001

, por F_y_Q

Hallar el trabajo que realiza un automóvil de 400 kg en un trayecto de 1 450 m, desde la cochera hasta un banco.

P.-S.

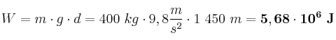
En este problema, al no dar datos de otro tipo, debemos suponer que el desplazamiento coincide con la fuerza del motor del vehículo y, por lo tanto, nuestra ecuación es: W = F·d
Además debemos suponer que no hay rozamiento y que el motor hace la fuerza necesaria para vencer el rozamiento del coche con el suelo, siendo esa fuerza igual al peso del coche.

W = m\cdot g\cdot d = 400\ kg\cdot 9,8\frac{m}{s^2}\cdot 1\ 450\ m = \bf 5,68\cdot 10^6\ J