Trabajo que realiza el motor de un coche para variar la velocidad

, por F_y_Q

Un vehículo cuya masa es de 950 kg se desplaza por una carretera horizontal a una velocidad constante de 24 m/s. En un momento dado el conductor acelera y alcanza una velocidad de 32 m/s y a partir de este momento continúa con la misma velocidad. Calcula:

a) La energía cinética inicial y final del vehículo.

b) El trabajo realizado por el motor durante el aumento de velocidad.

P.-S.

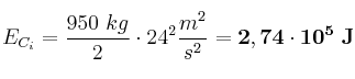
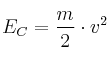
a) La energía cinética se obtiene a partir de la ecuación: E_C = \frac{m}{2}\cdot v^2.

E_{C_i} = \frac{950\ kg}{2}\cdot 24^2\frac{m^2}{s^2} = \bf 2,74\cdot 10^5\ J


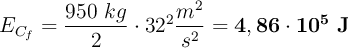
E_{C_f} = \frac{950\ kg}{2}\cdot 32^2\frac{m^2}{s^2} = \bf 4,86\cdot 10^5\ J


b) El trabajo que desarrolla el motor, dado que el tramo es horizontal, es igual a la variación de la energía cinética que sufre el vehículo:

W = \Delta E_C = \left(4,86\cdot 10^5 - 2,74\cdot 10^5\right)\ J = \bf 2,12\cdot 10^5\ J