Tipo de disolución a partir del dato de solubilidad de una sal (6442)

, por F_y_Q

Sobre una mesa de laboratorio hay tres frascos con la siguiente composición:

Frasco A. Contenido: 300\ cm^3 de agua con 15 g de sulfato de sodio.

Frasco B. Contenido: 100\ cm^3 de agua con 14 g de sulfato de sodio.

Frasco C. Contenido: 200\ cm^3 de agua con 38 g de sulfato de sodio.

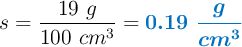
Teniendo en cuenta que la solubilidad de la sal sulfato de sodio es s = 19 \ \textstyle{g\ sal\over 100\ cm^3\ agua} , indica el tipo de disolución que contiene cada uno de los frascos:

a) El frasco A tiene en su interior una disolución: SATURADA - CONCENTRADA - DILUIDA

b) El frasco B tiene en su interior una disolución: SATURADA - CONCENTRADA - DILUIDA

c) El frasco C tiene en su interior una disolución: SATURADA - CONCENTRADA - DILUIDA

P.-S.

La manera más simple de resolver el ejercicio es expresar la solubilidad como un cociente y luego comparar ese cociente en cada uno de los frascos. La solubilidad de la sal será:

s = \frac{19\ g}{100\ cm^3} = \color[RGB]{0,112,192}{\bm{0.19\ \frac{g}{cm^3}}}

a) En el frasco A el cociente es:

s_A = \frac{15\ g}{300\ cm^3} = \color[RGB]{0,112,192}{\bm{0.05\ \frac{g}{cm^3}}}

Como el valor es mucho menor que la solubilidad de la sal, la disolución es \fbox{\color[RGB]{192,0,0}{\textbf{DILUIDA}}}.

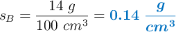
b) En el frasco B el cociente es:

s_B = \frac{14\ g}{100\ cm^3} = \color[RGB]{0,112,192}{\bm{0.14\ \frac{g}{cm^3}}}

Se trata de un valor bastante próximo al de la solubilidad de la sal, la disolución es \fbox{\color[RGB]{192,0,0}{\textbf{CONCENTRADA}}}.

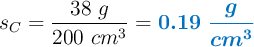
c) En el frasco C el cociente es:

s_C = \frac{38\ g}{200\ cm^3} = \color[RGB]{0,112,192}{\bm{0.19\ \frac{g}{cm^3}}}

El valor es igual que la solubilidad de la sal, la disolución es \fbox{\color[RGB]{192,0,0}{\textbf{SATURADA}}}


Descarga el enunciado y la resolución del problema en formato EDICO si lo necesitas.