Tiempo que tarda una hormiga en recorrer un trayecto (4529)

, por F_y_Q

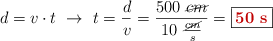
Halla el tiempo que tarda una hormiga en recorrer una distancia de 500 cm si se mueve con una rapidez constante en 10 cm/s.

P.-S.

La hormiga sigue un movimiento uniforme porque su velocidad es constante. Si supones que es rectilíneo sigue la ecuación:

d = v\cdot t\ \to\ t = \frac{d}{v} = \frac{500\ \cancel{cm}}{10\ \frac{\cancel{cm}}{s}} = \fbox{\color[RGB]{192,0,0}{\bf 50\ s}}