Tiempo que tarda la luz del Sol en llegar a la Tierra en el perihelio (540) 5110

, por F_y_Q

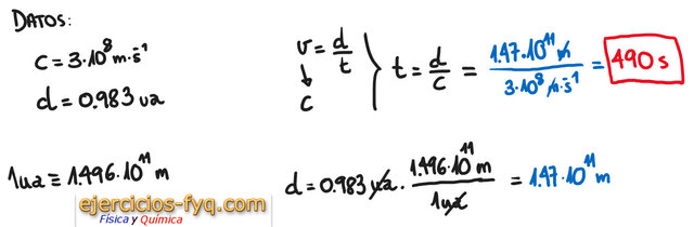
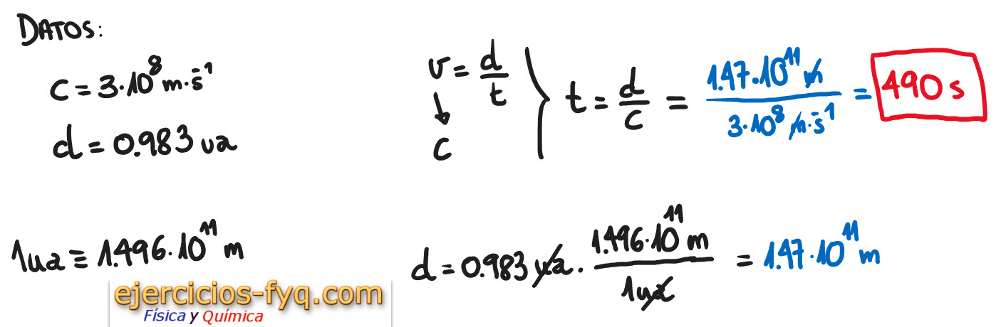
Sabiendo que la distancia entre el Sol y la Tierra, en el perihelio, es de 0.983 ua (unidades astronómicas), ¿qué tiempo tardará en llegar la luz solar a la Tierra cuando la Tierra esté en el perihelio?

Datos: 1\ ua = 1.496\cdot 10^{11}\ m ; c  = 3\cdot 10^8\ \frac{m}{s}

P.-S.

\fbox{\color[RGB]{192,0,0}{\bf t = 490\ s}}

Si clicas en la imagen podrás verla a tamaño mayor.