Longitud de onda a partir de la frecuencia y la velocidad (7544)

, por F_y_Q

Sara se sienta en el muelle de una laguna para pescar y, mientras lo hace, se dedica a contar las ondas que el agua forma cuando golpea uno de los soportes del muelle. Durante un minuto y medio cuenta que son 120 ondas. Si la cresta de una de esas ondas recorre una distancia de 12 m en 8 s, ¿cuál es su longitud de onda?

P.-S.

El dato que obtiene Sara contando las ondas es la frecuencia de las mismas. Si lo expresas en unidad SI es:

120\ \frac{ondas}{\cancel{min}}\cdot \frac{1\ \cancel{min}}{60\ s} = \color[RGB]{0,112,192}{\bm{2\ \frac{ondas}{s}}}

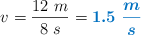
La velocidad de la onda es:

v = \frac{12\ m}{8\ s} = \color[RGB]{0,112,192}{\bm{1.5\ \frac{m}{s}}}

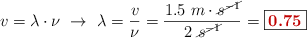
El producto de la longitud de onda por la frecuencia es la velocidad de propagación, si despejas y sustituyes puedes calcularla:

v = \lambda\cdot \nu\ \to\ \lambda = \frac{v}{\nu} = \frac{1.5\ m\cdot \cancel{s^{-1}}}{2\ \cancel{s^{-1}}} = \fbox{\color[RGB]{192,0,0}{\bf 0.75\m}}


Descarga el enunciado y la resolución del problema en formato EDICO si lo necesitas.