Tiempo para que se desplacen 300 millas dos continentes (6807)

, por F_y_Q

Si los continentes se desplazan, producto de la deriva continental, a una velocidad de 10 mm por año, ¿cúanto tardó América del Norte en separarse de Europa una distancia de 300 millas?

P.-S.

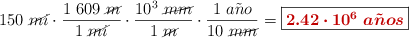
La mejor manera de hacer este ejercicio es usar los factores de conversión necesarios hasta llegar a la magnitud tiempo. Si tienes en cuenta que ambos continentes se mueven en sentidos opuestos, la mitad del desplazamiento se deberá a cada uno de los continentes:

150\ \cancel{mi}\cdot \frac{1\ 609\ \cancel{m}}{1\ \cancel{mi}}\cdot \frac{10^3\ \cancel{mm}}{1\ \cancel{m}}\cdot \frac{1\ a\tilde{n}o}{10\ \cancel{mm}} = \fbox{\color[RGB]{192,0,0}{\bm{2.42\cdot 10^6\ a\tilde{n}os}}}