Tiempo para que dos máquinas de distinta potencia hagan el mismo trabajo (6464)

, por F_y_Q

¿Cuánto de tiempo tiene que estar en funcionamiento una máquina de 1 000 W para hacer el mismo trabajo que otra de 20 CV en media hora?

P.-S.

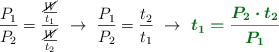
Si haces el cociente entre las potencias de la máquinas, teniendo en cuenta que el trabajo es el mismo, obtienes la relación entre sus tiempos:

\frac{P_1}{P_2} = \frac{\frac{\cancel{W}}{t_1}}{\frac{\cancel{W}}{t_2}}\ \to\ \frac{P_1}{P_2} = \frac{t_2}{t_1}\ \to\ \color[RGB]{2,112,20}{\bm{t_1 = \frac{P_2\cdot t_2}{P_1}}}

Debes expresar la potencia de las máquinas en la misma unidad, por ejemplo en W:

20\ \cancel{CV}\cdot \frac{745.7\ W}{1\ \cancel{CV}} = \color[RGB]{0,112,192}{\bf 14\ 914\ W}

Ya puedes sustituir en la ecuación anterior y calcular el tiempo de la primera máquina:

t_1 = \frac{14\ 914\ \cancel{W}}{1\ 000\ \cancel{W}}\cdot 0.5\ h = \fbox{\color[RGB]{192,0,0}{\bf 7.46\ h}}