Tiempo en caída libre desde un metro en dos planetas distintos (423)

, por F_y_Q

Calcula el tiempo que tarda en llegar al suelo un objeto, que se deja caer libremente desde una altura de un metro, en la Tierra y en un planeta cuya aceleración gravitatoria fuera un quinto de la de la Tierra.

P.-S.

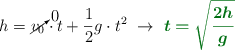
Al tratarse de una caída libre, la ecuación que vas a usar es la siguiente:

h = \cancelto{0}{v_0}\cdot t + \frac{1}{2}g\cdot t^2\ \to\ \color[RGB]{2,112,20}{\bm{t = \sqrt{\frac{2h}{g}}}}

Ahora solo tienes que sustituir los valores de «g» y calcular:

En la Tierra:

t = \sqrt{\frac{2\ \cancel{m}}{9.8\ \cancel{m}\cdot s^{-2}}} = \fbox{\color[RGB]{192,0,0}{\bf 0.45\ s}}


En el otro planeta:

t = \sqrt{\frac{2\ \cancel{m}}{\frac{9.8}{5}\ \cancel{m}\cdot s^{-2}}} = \fbox{\color[RGB]{192,0,0}{\bf 1.01\ s}}