Tiempo de viaje para un MRU (3988)

, por F_y_Q

Un automóvil viaja 86.4 km con una velocidad constante de 8 m/s. ¿Cuántas horas se requieren para el viaje?

P.-S.

Es buena idea que conviertas la velocidad del automóvil a km/h ya que el tiempo lo debes expresar en horas:

8\ \frac{\cancel{m}}{\cancel{s}}\cdot \frac{1\ km}{10^3\ \cancel{m}}\cdot \frac{3\ 600\ \cancel{s}}{1\ h} = \color[RGB]{0,112,192}{\bm{28.8\ \frac{km}{h}}}

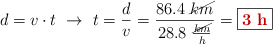
Al moverse con velocidad constante, su ecuación del movimiento es la del MRU y puedes despejar y calcular el tiempo:

d = v\cdot t\ \to\ t = \frac{d}{v} = \frac{86.4\ \cancel{km}}{28.8\ \frac{\cancel{km}}{h}} = \fbox{\color[RGB]{192,0,0}{\bf 3\ h}}