Tensión de la cuerda en un sistema de dos cuerpos (2799)

, por F_y_Q

En el sistema de la figura se presentan dos masas suspendidas por una cuerda. Halla la tensión de la cuerda si las masas de ambos cuerpos son 3 kg, la fuerza normal es de 2 N y la fuerza de rozamiento de 1 N.

P.-S.

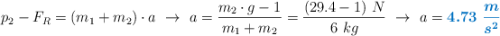
El primer lugar debemos calcular la aceleración del sistema. Para ello tenemos en cuenta las fuerzas que están en la dirección de movimiento del sistema. El peso del cuerpo 2 será positivo y la fuerza de rozamiento será negativa porque siempre se opone al movimiento:

p_2 - F_R = (m_1 + m_2)\cdot a\ \to\ a = \frac{m_2\cdot g - 1\N}{m_1 + m_2} = \frac{(29.4 - 1)\ N}{6\ kg}\ \to\ a = \color[RGB]{0,112,192}{\bm{4.73\ \frac{m}{s^2}}}

El cálculo de la tensión se hace aislando uno de los cuerpos. Aislamos el cuerpo dos porque sobre él solo hay dos fuerzas:

m_2\cdot g - T_2 = m_2\cdot a\ \to\ T_2 = m_2(g - a) = 3\ kg\cdot 5.07\ \frac{m}{s^2}\ \to\ T_2 = \fbox{\color[RGB]{192,0,0}{\bf 15.2\ N}}