Temperatura final de una mezcla de sustancias (2292)

, por F_y_Q

En un calorímetro se colocan 5 kg de agua a 50\ ^oC y 1 kg de hielo a -80\ ^oC. Calcula la temperatura final de la mezcla.

Datos: c_{e_{\text{agua}}} = 4\ 180\ J\cdot kg^{-1}\cdot K^{-1} ; c_{e_{\text{hielo}}} = 2\ 090\ J\cdot kg^{-1}\cdot K^{-1} ; l_{f_{\text{hielo}}} = 334\ 000\ J\cdot kg^{-1}

P.-S.

Como el calor es una forma de energía que aparece siempre fluyendo desde el punto de mayor temperatura del sistema al punto de menor temperatura, el agua se debe enfriar en la medida en la que debe calentarse el hielo, es decir, el calor que cede el agua será el mismo que absorbe el hielo, pero teniendo en cuenta que el hielo se fundirá y sufrirá un cambio de estado. El calor que cede el agua, que no sufre cambio de estado y debes considerar negativo, es:

\color[RGB]{2,112,20}{\bm{Q_{\text{agua}} = - m_{\text{agua}}\cdot c_{e_{\text{agua}}}\cdot (T_f - T_i)}}

El calor que absorbe el hielo tiene dos componentes, la del calentamiento del hielo y el cambio de estado a agua:

\color[RGB]{2,112,20}{\bm{Q_{\text{hielo}} = m_{\text{hielo}}\cdot c_{e_{\text{hielo}}}\cdot (273 - 193) + m_{\text{hielo}}\cdot l_{f_{\text{hielo}}} + m_{\text{hielo}}\cdot c_{e_{\text{agua}}}\cdot (T_f - 273)}}

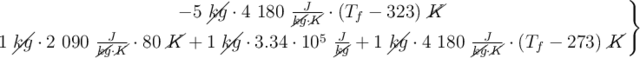
La temperatura final será la misma en ambos casos. Operas con cada uno de los calores:

\left - 5\ \cancel{kg}\cdot 4\ 180\ \frac{J}{\cancel{kg}\cdot \cancel{K}}\cdot (T_f - 323)\ \cancel{K} \atop 1\ \cancel{kg}\cdot 2\ 090\ \frac{J}{\cancel{kg}\cdot \cancel{K}}\cdot 80\ \cancel{K} + 1\ \cancel{kg}\cdot 3.34\cdot 10^5\ \frac{J}{\cancel{kg}} + 1\ \cancel{kg}\cdot 4\ 180\ \frac{J}{\cancel{kg}\cdot \cancel{K}}\cdot (T_f - 273)\ \cancel{K} \right \}

Obtienes los siguientes resultados:

\left {\color[RGB]{0,112,192}{\bm{2.09\cdot 10^4T_f + 6.75\cdot 10^6}}} \atop {\color[RGB]{0,112,192}{\bm{1.672\cdot 10^5 + 3.34\cdot 10^5 + 4\ 180T_f - 1.14\cdot 10^6}}} \right \}

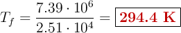
Igualas ambas expresiones y despejas el valor de la temperatura final:

T_f = \frac{7.39\cdot 10^6}{2.51\cdot 10^4} = \fbox{\color[RGB]{192,0,0}{\bf 294.4\ K}}


Que es lo mismo que \fbox{\color[RGB]{192,0,0}{\bm{21.4\ ^oC}}}