Temperatura de equilibrio al mezclar hielo y vapor de agua (4546)

, por F_y_Q

Se mezclan 100 g de hielo a -20\ ^oC con 20 g de vapor sobrecalentado a 150\ ^oC. Determina la temperatura de equilibrio del sistema.

Datos:l_f = 80\ \frac{cal}{g} ; l_{vap} = 539\ \frac{cal}{g} ; c_e(h) = c_e(v) = 0.5\ \frac{cal}{g\cdot ^oC} ; c_e(a) = 1.0\ \frac{cal}{g\cdot ^oC}

P.-S.

Este ejercicio no es evidente. Para poder hacerlo vas a calcular qué calor es necesario para fundir todo el hielo y llevarlo a agua líquida a 0\ ^oC y qué calor debe ceder el vapor de agua para convertirse en agua a 100\ ^oC:

El calor para que el hielo se funda es:

\color[RGB]{2,112,20}{\bm{Q_h = m_h\cdot c_e(h)\cdot \Delta T + m_h\cdot l_f}}

Conoces todos los datos y solo tienes que sustituir y calcular:

Q_h = 100\ \cancel{g}\cdot 0.5\ \frac{cal}{\cancel{g}\cdot \cancel{^oC}}\cdot [0 - (-20)] \cancel{^oC} + 100\ \cancel{g}\cdot 80\ \frac{cal}{\cancel{g}} = \color[RGB]{0,112,192}{\bm{9\cdot 10^3\ cal}}

El calor que cede el vapor de agua es:

\color[RGB]{2,112,20}{\bm{Q_v = m_v\cdot c_e(v)\cdot \Delta T + m_v\cdot l_v}}

Al igual que antes, sustituyes y calculas:

Q_v = 20\ \cancel{g}\cdot 0.5\ \frac{cal}{\cancel{g}\cdot \cancel{^oC}}\cdot (100 - 150)\ \cancel{^oC} + 20\ \cancel{g}\cdot 539\ \frac{cal}{\cancel{g}} = \color[RGB]{0,112,192}{\bm{1.13\cdot 10^4\ cal}}

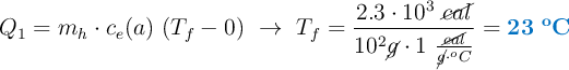
Cuando se haya fundido todo el hielo, aún habrá vapor de agua a 100\ ^oC. La diferencia de calor cedido por el vapor (que es negativo) y el absorbido por el hielo (que es positivo) es de 2.3\cdot 10^3\ cal. Este calor será el que absorba el agua a 0\ ^oC:

Q_1 = m_h\cdot c_e(a)\ (T_f - 0)\ \to\ T_f = \frac{2.3\cdot 10^3\ \cancel{cal}}{10^2 \cancel{g}\cdot 1\ \frac{\cancel{cal}}{\cancel{g}\cdot ^oC}} = \color[RGB]{0,112,192}{\bf 23\ ^oC}}

Quiere decir que cuando todo el vapor haya pasado a agua a 100\ ^oC, la masa de agua que provenía del hielo estará a 23\ ^oC. Ahora debes establecer la temperatura final de la mezcla entre los 100 g de agua a 23\ ^oC (1) y los 20 g de agua a 100\ ^oC (2):

T_f = \frac{m_1\cdot T_1 + m_2\cdot T_2}{m_1 + m_2} = \frac{100\ \cancel{g}\cdot 23\ ^oC + 20\ \cancel{g}\cdot 100\ ^oC}{(100 + 20)\ \cancel{g}} = \fbox{\color[RGB]{192,0,0}{\bf 35.83\ ^oC}}