Temperatura a la que un proceso es espontáneo (73)

, por F_y_Q

Sabiendo que la entalpía de formación estándar del \ce{N_2O(g)} es 81.6\ \textstyle{kJ\over mol} y que su entropía de formación estándar es de 220\ \textstyle{J\over mol\cdot K} . ¿Se trata de un proceso espontáneo? En caso de no serlo, ¿a partir de qué temperatura lo sería?

P.-S.

Lo primero que debes hacer es escribir la reacción de formación del \ce{N2O} :

\color[RGB]{0,112,192}{\textbf{\ce{N2(g) + \textstyle{1\over 2}O2(g) -> N2O(g)}}

>br/> La entalpía de reacción coincide con la entalpía de formación del producto porque las de los reactivos son cero, lo mismo que ocurre con la entropía de la reacción. Para saber si es espontánea aplicas la ecuación de la energía libre de Gibbs para la temperatura estándar:

\Delta G = \Delta H - T\Delta S = 81.6\cdot 10^3\ \frac{J}{mol} - 298\ \cancel{K}\cdot 220\ \frac{J}{mol\cdot \cancel{K}} = \fbox{\color[RGB]{192,0,0}{\bm{1.6\cdot 10^4\ \frac{J}{mol}}}}


Como el valor que se obtiene es POSITIVO, el proceso no es espontáneo.

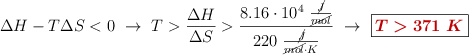
Para saber a partir de qué temperatura lo sería solo tienes que resolver la inecuación que resulta de imponer la condición de que la energía libre sea negativa:

\Delta H - T\Delta S < 0\ \to\ T > \frac{\Delta H}{\Delta S} > \frac{8.16\cdot 10^4\ \frac{\cancel{J}}{\cancel{mol}}}{220\ \frac{\cancel{J}}{\cancel{mol}\cdot K}}\ \to\ \fbox{\color[RGB]{192,0,0}{\bm{T > 371\ K}}}