Tanto por ciento m/V 0001

, por F_y_Q

Al mezclar 13,5 g de KCl (cloruro de potasio) con 56,8 g de agua se obtiene una disolución cuya densidad es de 1,15 g/mL. ¿Cuál es el porcentaje (m/V) de la disolución resultante?

P.-S.

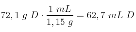
Si sumamos las masas de soluto (KCl) y disolvente (agua) obtenemos la masa de la disolución: (13,5 + 58,6) g = 72,1 g D. Tomando en cuenta la densidad de la disolución:

72,1\ g\ D\cdot \frac{1\ mL}{1,15\ g} = 62,7\ mL\ D


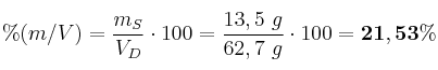
El porcentaje (m/V) se define como el cociente entre la masa del soluto (en gramos) y el volumen de la disolución (en mililitros), multiplicado por 100:

\%(m/V) = \frac{m_S}{V_D}\cdot 100 = \frac{13,5\ g}{62,7\ g}\cdot 100 = \bf 21,53\%