Selectividad Andalucía: química (junio 2009) - problema 2.B (124)

, por F_y_Q

A 30 ^oC y 1 atm el \ce{N2O4} se encuentra disociado en un 20 \% según el siguiente equilibrio:

\ce{N2O4(g) <=> 2NO2(g)}

Calcula:

a) El valor de las constantes \ce{K_P} y \ce{K_C} , a esa temperatura.

b) El porcentaje de disociación a 30 ^oC y 0.1 atm de presión total.

Dato: R\ =\ 0.082\ \textstyle{atm\cdot L\over K\cdot mol}.

P.-S.

Lo primero que debes hacer es escribir los moles de cada sustancia que hay en el equilibrio, en función de los moles iniciales y del grado de disociación.

\ce{\underset{n_0(1-\alpha)}{\ce{N2O4(g)}}} \ce{<=> \underset{2n_0\alpha}{\ce{2NO2(g)}}}


Como el grado de disociación es \alpha = 0.2 puedes escribirlos como:

\ce{\underset{0.8n_0}{\ce{N2O4(g)}}} \ce{<=> \underset{0.4n_0}{\ce{2NO2(g)}}}


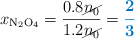
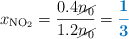
Los moles totales en el equilibrio son la suma de los moles de cada especie:

n_T = 0.8n_0 + 0.4n_0\ \to\ \color[RGB]{2,112,20}{\bm{n_0 = 1.2n_0}}

Ahora calculas la fracción molar de cada uno:

x_{\ce{N2O4}} = \frac{0.8\cancel{n_0}}{1.2\cancel{n_0}} = \color[RGB]{0,112,192}{\bm{\frac{2}{3}}}

x_{\ce{NO2}} = \frac{0.4\cancel{n_0}}{1.2\cancel{n_0}} = \color[RGB]{0,112,192}{\bm{\frac{1}{3}}}

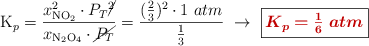
a) La constante de equilibrio en función de las presiones parciales es:

\color[RGB]{2,112,20}{\bm{K_p = \frac{p_{\ce{NO2}}^2}{p_{\ce{N2O4}}}}

Sustituyes y calculas el valor de la constante:

\ce{K_p} = \frac{x_{\ce{NO2}}^2\cdot P_T\cancel{^2}}{x_{\ce{N2O4}}\cdot \cancel{P_T}} = \frac{(\frac{2}{3})^2\cdot 1\ atm}{\frac{1}{3}}\ \to\ \fbox{\color[RGB]{192,0,0}{\bm{K_p = \frac{1}{6}\ atm}}}


El cálculo de la constante en función de las concentraciones lo puedes hacer usando la ecuación:

\color[RGB]{2,112,20}{\bm{K_c = K_p(RT)^{-\Delta n}}}

El incremento de los moles de gas es uno y la constante queda como:

K_c = \frac{1}{6}\ \cancel{\cancel{atm}}\left(0.082\ \frac{\cancel{atm}\cdot L}{mol\cdot \cancel{K}}\cdot 303\ \cancel{K}\right)^{-1}\ \to\ \fbox{\color[RGB]{192,0,0}{\bm{K_c = 6.68\cdot 10^{-3}\ M}}}



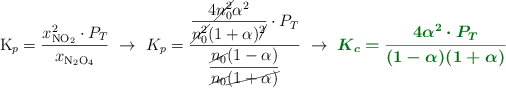
b) Al cambiar la presión total del sistema el equilibrio tiene que evolucionar de modo que se disocie más reactivo. La expresión y el valor de \ce{K_p} sigue siendo igual y será el modo de poder calcular el nuevo valor del coeficiente de disociación. Cuidado porque las fracciones molares las tienes que expresar en función de los moles iniciales:

\ce{K_p} = \frac{x_{\ce{NO2}}^2\cdot P_T}{x_{\ce{N2O4}}}\ \to\ K_p = \frac{\dfrac{4\cancel{n_0^2}\alpha^2}{\cancel{n_0^2}(1+\alpha)\cancel{^2}}\cdot P_T}{\dfrac{\cancel{n_0}(1-\alpha)}{\cancel{n_0}\cancel{(1+\alpha)}}}\ \to\ \color[RGB]{2,112,20}{\bm{K_c = \frac{4\alpha^2\cdot P_T}{(1-\alpha)(1+\alpha)}}}

Puedes operar con el denominador y sustituir para que sea más fácil despejar el valor del grado de disociación:

\frac{1}{6} = \frac{0.4\alpha^2}{1-\alpha^2}\ \to\ 0.415 = 1.415\alpha\ \to\ \fbox{\color[RGB]{192,0,0}{\bm{\alpha = 0.54 = 54\%}}}