Segundos que contiene un año (4268)

, por F_y_Q

Calcula los segundos que tiene un año y expresa el resultado en notación científica.

P.-S.

Este ejercicio se puede hacer multiplicando cada una de las medidas del tiempo. Por ejemplo, sabemos que un 1 año son 365 días y que cada día son 24 horas:

365\cdot 24 = 8\ 760\ h

Cada hora son 60 minutos:

8760\cdot 60  = 525\ 600\ min.

Cada minuto son 60 segundos:

525\ 600\cdot 60 = \bf  31\ 536\ 000\ s

Ahora habría que expresar esa cantidad en notación científica:

\fbox{\color[RGB]{192,0,0}{\bm{3.1536\cdot 10^7\ s}}}


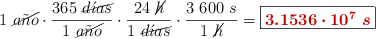
Pero hay otro modo de hacerlo mucho más ordenado y en un solo paso, y que es necesario aprender para cursos superiores:

1\ \cancel{a\tilde{n}o}\cdot \frac{365\ \cancel{d\acute{\imath}as}}{1\ \cancel{a\tilde{n}o}}\cdot \frac{24\ \cancel{h}}{1\ \cancel{d\acute{\imath}as}}\cdot \frac{3\ 600\ s}{1\ \cancel{h}} = \fbox{\color[RGB]{192,0,0}{\bm{3.1536\cdot 10^7\ s}}}