¿Cuál es la mayor velocidad si están expresadas en distinta unidad? (5923)

, por F_y_Q

Un caballo de carreras recorre 3 000 metros en 3 minutos, mientras que una moto que viaja por la carretera recorre 50 kilómetros en 60 minutos. ¿Cuál lleva mayor velocidad?

P.-S.

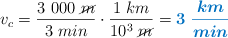
Lo único que tienes que hacer es expresar ambas velocidades en la misma unidad. Puedes expresar la velocidad del caballo en \textstyle{km\over min} para compararla con la velocidad de moto:

v_c = \frac{3\ 000\ \cancel{m}}{3\ min}\cdot \frac{1\ km}{10^3\ \cancel{m}} = \color[RGB]{0,112,192}{\bm{3\ \frac{km}{min}}}

La velocidad de la moto es:

v_m = \frac{50\ km}{60\ min} = \color[RGB]{0,112,192}{\bm{0.83\ \frac{km}{min}}}

La velocidad del caballo es MAYOR que la de la moto.


Descarga el enunciado y la resolución del problema en formato EDICO si lo necesitas.