Resistencia de un shunt para medir una intensidad con un amperímetro (7181)

, por F_y_Q

Con un amperímetro de resistencia de r = 0.14\ \Omega y escala de 0 a 3 A, queremos medir una intensidad de corriente de 24 A. ¿Qué resistencia (shunt) debemos instalar?

P.-S.

Para medir la intensidad indicada se usa un shunt, que es una resistencia conectada en paralelo con el amperímetro y así la corriente se divide en ambas ramas. Se cumple la relación:

\color[RGB]{2,112,20}{\bm{\frac{I_{\text{Amp}}}{I_{\text{Shunt}}} = \frac{R_{\text{Shunt}}}{R_{\text{Amp}}}}}

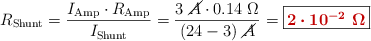
Si queremos que el amperímetro marque el máximo de su escala, los 3 A, el shunt que debemos usar es:

R_{\text{Shunt}} = \frac{I_{\text{Amp}}\cdot R_{\text{Amp}}}{I_{\text{Shunt}}} = \frac{3\ \cancel{A}\cdot 0.14\ \Omega}{(24 - 3)\ \cancel{A}} = \fbox{\color[RGB]{192,0,0}{\bm{2\cdot 10^{-2}\ \Omega}}}