Resistencia de un resistor al variar la temperatura (7072)

, por F_y_Q

¿Cuál es la resistencia a 60 ^oC de un resistor de carbono que tiene una área transversal de 0.5\ cm^2 y una longitud de 3 cm?

Datos: \rho(C)_{20^oC} = 3.5\cdot 10^{-5}\ \Omega\cdot m ; \alpha(C) = -5\cdot 10^{4}\ ^oC^{-1}

P.-S.

Puedes plantear la resolución del problema en dos pasos: en primer lugar puedes calcular cuál es el valor de la resistividad del carbono amorfo para los 60 ^oC y luego haces el cálculo de la resistencia a esta temperatura.

La expresión que relaciona los valores de la resistividad a distintas temperaturas es:

\color[RGB]{2,112,20}{\bm{\rho_{60} = \rho_{20}\left(1 + \alpha\cdot \Delta T\right)}}

Sustituyes y calculas:

\rho_{60} = 3.5\cdot 10^{-5}\ \Omega\cdot m\left(1 - 5\cdot 10^{4}\ \cancel{^oC^{-1}}\cdot (60 - 20)\cancel{^oC}\right) = \color[RGB]{0,112,192}{\bm{3.43\cdot 10^{-5}\ \Omega\cdot m}}

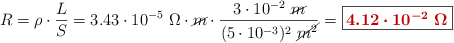
Con este valor de la resistividad a la temperatura deseada puedes calcular la resistencia del resistor:

R = \rho\cdot \frac{L}{S} = 3.43\cdot 10^{-5}\ \Omega\cdot \cancel{m}\cdot \frac{3\cdot 10^{-2}\ \cancel{m}}{(5\cdot 10^{-3})^2\ \cancel{m^2}} = \fbox{\color[RGB]{192,0,0}{\bm{4.12\cdot 10^{-2}\ \Omega}}}


Descarga el enunciado y la resolución del problema en formato EDICO si lo necesitas.