Relación molecular en un compuesto 0001

, por F_y_Q

Una muestra de sulfuro de cobre(II) anhidro pesa 12,76 g. Después de ser hidratado, pesa 19,96 g. ¿Cuál es el numero de moléculas de agua por molécula de sulfuro hidratado?

Masas atómicas: Cu = 63,5 u ; S = 32 u ; O = 16 u ; H = 1 u

P.-S.

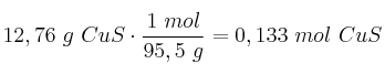
La masa molecular del CuS es 63,5 + 32 = 95,5 g/mol. Eso quiere decir que los 12,76 g de CuS son:

12,76\ g\ CuS\cdot \frac{1\ mol}{95,5\ g} = 0,133\ mol\ CuS


La diferencia de masa entre el compuesto hidratado y el compuesto anhidro será la cantidad de agua: (19,96 - 12,76) g = 7,2 g agua. Expresado en mol:

7,2\ g\ H_2O\cdot \frac{1\ mol}{18\ g} = 0,4\ mol\ H_2O


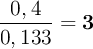
Si hacemos la relación entre los moles de agua y los de CuS tenemos: \frac{0,4}{0,133} = \bf 3
Eso quiere decir que habrá 3 moléculas de agua por cada molécula de CuS.