Relación entre frecuencia y longitud de onda (2527)

, por F_y_Q

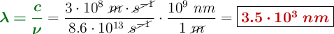
¿Cuál es la longitud de onda (en nanómetros) de la luz con una frecuencia de 8.6\cdot 10^{13}\ \text{Hz}?

P.-S.

La longitud de onda y la frecuencia siguen la siguiente relación:

\color[RGB]{2,112,20}{\bm{c  = \lambda\cdot \nu}}

Despejas, sustituyes y calculas:

{\color[RGB]{2,112,20}{\bm{\lambda = \frac{c}{\nu}}}} = \frac{3\cdot 10^8\ \cancel{m}\cdot \cancel{s^{-1}}}{8.6\cdot 10^{13}\ \cancel{s^{-1}}}\cdot \frac{10^9\ nm}{1\ \cancel{m}} = {\fbox{\color[RGB]{192,0,0}{\bm{3.5\cdot 10^3\ nm}}}}