Relación entre constantes de equilibrio en suma de reacciones 0001

, por F_y_Q

Dadas las reacciones de disociación y sus constantes de equilibrio:

C_6H_5COOH + H_2O\ \to\ H_3O^+ + C_6H_5COO^-\ \ (K_1 = 6,28\cdot 10^{-6})

HNO_2 + H_2O\ \to\ H_3O^+ + NO_2^-\ \ (K_2= 7,10\cdot 10^{-4})

NH_3 + H_2O\ \to\ NH_4^+ + OH^-\ \ (K_3 = 1,76\cdot 10^{-5})

Calcula las constantes de equilibrio de las siguientes reacciones:

a) C_6H_5COO^- + HNO_2\ \to\ C_6H_5COOH + NO_2^-

b) NH_4^+ + C_6H_5COO^-\ \to\ NH_4^+ + OH^-

P.-S.

a) Si escribimos al revés la primera reacción y luego le sumamos la segunda, tenemos:

H_3O^+ + C_6H_5COO^-\ \to\ C_6H_5COOH + NO_2^-


HNO_2 + H_2O\ \to\ H_3O^+ + NO_2^-

_______________________________________________________

\bf C_6H_5COO^- + HNO_2\ \to\ C_6H_5COOH + NO_2^-


Escribir la primera ecuación al revés es equivalente a escribir la inversa de su constante de equilibrio y sumar ambas reacciones es equivalente a multiplicar sus constante de equilibrio, por lo tanto la constante de equilibrio de la reacción a) será:

K = \frac{K_2}{K_1} = \frac{7,10\cdot 10^{-4}}{6,28\cdot 10^{-6}} = \bf 113,06


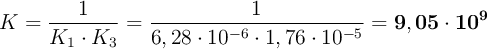
b) Del mismo modo que el caso anterior, la segunda reacción se obtiene al hacer la suma de las reacciones primera y tercera pero escritas al revés ambas. Eso quiere decir que habría que hacer la multiplicación de las inversas de los dos valores de sus constantes de equilibrio:

K = \frac{1}{K_1\cdot K_3} = \frac{1}{6,28\cdot 10^{-6}\cdot 1,76\cdot 10^{-5}} = \bf 9,05\cdot 10^9