Refuerzo: constante de equilibrio conociendo los moles iniciales (6814)

, por F_y_Q

Reaccionan inicialmente 8 moles de \ce{N2} , 22 moles de \ce{H2} y 2 moles de \ce{NH3} . Determina la constante de equilibrio \ce{K_C} sabiendo que en el equilibrio han quedado 2 moles de \ce{N2} y el volumen total es 1 L.

P.-S.

La clave del ejercicio es ser capaz de seguir la estequiometría de la reacción:

\color[RGB]{2,112,20}{\textbf{\ce{N2 + 3H2 -> 2NH3}}}

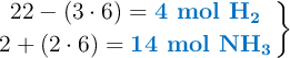
Si quedan 2 moles de \ce{N2} tras la reacción quiere decir que habrán reaccionado 6 moles de \ce{N2}, por lo que quedarán en el equilibrio:

\left 22 - (3\cdot 6) = {\color[RGB]{0,112,192}{\textbf{4 mol \ce{H2}}}} \atop 2 + (2\cdot 6) = {\color[RGB]{0,112,192}{\textbf{14 mol \ce{NH3}}}} \right \}

Como el volumen es de un litro, los moles calculados coinciden con la concentración molar de cada especie en el equilibrio, por lo que puedes calcular la constante de equilibrio:

\ce{K_C} = \frac{\ce{[NH3]}^2}{\ce{[N2]}\cdot \ce{[H2]}^3} = \frac{14^2\ M^2}{2\cdot 4^3\ M^4} = \fbox{\color[RGB]{192,0,0}{\bm{1.53\ M^{-2}}}}