Reactores que contienen las bacterias necesarias para producir 100 g de antibiótico (6180)

, por F_y_Q

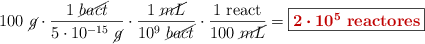
Mediante biotecnología se construye una bacteria que es capaz de producir en toda su vida 5 fg de antibiótico. Estas bacterias se cultivan en reactores de 100 mL de volumen donde alcanzan una densidad poblacional de 10 ^9 bacterias por cada mL. ¿Cuántos reactores se requieren para obtener una tableta de 100 g de antibiótico?

P.-S.

Puedes resolver el ejercicio aplicando factores de conversión y teniendo en cuenta que el prefijo femto (f-) equivale a 10 ^{-15}. Partes de la masa de antibiótico que quieres obtener:


100\ \cancel{g}\cdot \frac{1\ \cancel{bact}}{5\cdot 10^{-15}\ \cancel{g}}\cdot \frac{1\ \cancel{mL}}{10^9\ \cancel{bact}}\cdot \frac{1\ \text{react}}{100\ \cancel{mL}} = \fbox{\color[RGB]{192,0,0}{\bm{2\cdot 10^5}\ \textbf{reactores}}}