Reactivo limitante en una reacción química 0001

, por F_y_Q

Se hacen reaccionar 7,5 moles de cloro con 5,5 de aluminio para formar cloruro de aluminio. Indica la cantidad de cloruro de aluminio que se espera obtener.

P.-S.

La reacción que tiene lugar es: \frac{3}{2}Cl_2 + Al\ \to\ AlCl_3
Por cada mol de aluminio que se hace reaccionar son necesarios 1,5 mol de cloro. Debemos ver cuál de los dos reactivos es el reactivo limitante:

5,5\ mol\ Al\cdot \frac{1,5\ mol\ Cl_2}{1\ mol\ Al} = 8,25\ mol\ Cl_2


Como no tenemos esos moles de cloro disponibles, el reactivo limitante será el propio cloro. Debemos hacer los cálculos tomando como referencia los moles de cloro que reaccionan:

]7,5\ mol\ Cl_2\cdot \frac{1\ mol\ AlCl_3}{1,5\ mol\ Cl_2} = 5\ mol\ AlCl_3


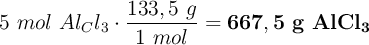
La masa molecular del cloruro de aluminio es 27 + 35,5·3 = 133,5 g/mol, por lo que esos moles de cloruro de aluminio equivalen a:

5\ mol\ Al_Cl_3\cdot \frac{133,5\ g}{1\ mol} = \bf 667,5\ g\ AlCl_3