Reacciones químicas: reactivos impuros 0002

, por F_y_Q

Se hace reaccionar 150 gramos de una muestra de MnO_2 que posee una pureza del 87\% con suficiente cantidad de HCl. Determina:

a) Moles y masa del agua que se obtiene.

b) Moles y masa de cloro.

P.-S.

En primer lugar escribimos la reacción ajustada

MnO_2 + 4 HCl\ \to\ Mn + 2 H_2O + 2 Cl_2


Los 150 g que reaccionan no son puros, tan solo 87 g de cada 100 g serán de nuestro reactivo:

150\ g\ C\cdot \frac{87\ g\ MnO_2}{100\ g\ C} = 130,5\ g\ MnO_2


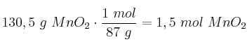
Vamos a calcular los moles de reactivo que son esos 130,5 g:

130,5\ g\ MnO_2\cdot \frac{1\ mol}{87\ g} = 1,5\ mol\ MnO_2


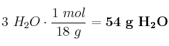
Si miramos la reacción podemos ver que se obtienen el doble de moles de agua y cloro que los que han reaccionado de MnO_2, por lo tanto se obtendrán:
a) 3 moles de agua ; 3\mol\ H_2O\cdot \frac{1\ mol}{18\ g} = \bf 54\ g\ H_2O
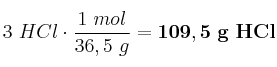
b) 3 moles de HCl ; 3\mol\ HCl\cdot \frac{1\ mol}{36,5\ g} = \bf 109,5\ g\ HCl