Reacciones, potencial y constante de equilibrio de una pila galvánica (8468)

, por F_y_Q

Se construye una pila galvánica utilizando un electrodo de níquel sumergido en una disolución de \ce{Ni2+} 1.0 M y un electrodo de plata sumergido en una disolución de \ce{Ag+} 1.0 M, a una temperatura de 298 K.

a) Escribe las semirreacciones y la reacción global de la pila, indicando cuál es el ánodo y el cátodo.

b) Calcula el potencial estándar de la pila (E^o_{\text{pila}}).

c) Determina la constante de equilibrio de la reacción global.

d) Si la concentración de \ce{Ag^+} se reduce a 0.01 M, calcula el nuevo potencial de la pila (E_{\text{pila}}).

Datos: E^o(\ce{Ni^{2+}/Ni}) = -0.25\ V; E^o(\ce{Ag^+/Ag}) = +0.80\ V; F = 96\ 485\ C\cdot \text{mol}^{-1}; R = 8.314\ J\cdot \text{mol}^{-1}\cdot K^{-1}

P.-S.

a) En el ánodo ocurre la reacción de oxidación. Es el níquel quien se oxida porque tiene el menor potencial de reducción:

\fbox{\color[RGB]{192,0,0}{\bm{\acute{a}}\textbf{nodo: \ce{Ni -> Ni^{2+} + 2e^-}}}}


En el cátodo se produce la reducción y es la plata la que se reduce por tener menor potencial de reducción:

\fbox{\color[RGB]{192,0,0}{\bm{c\acute{a}}\textbf{todo: \ce{Ag^+ + e^- -> Ag}}}}


La reacción global, igualando las cargas en ambas, es:

\fbox{\color[RGB]{192,0,0}{\textbf{\ce{Ni + 2Ag^+ -> Ni^{2+} + 2Ag}}}}


b) El potencial estándar de la pila se calcula siempre haciendo la diferencia entre el potencial de reducción del cátodo y el del ánodo:

E^o_{\text{pila}} = E^o_{\text{cat}} - E^o_{\text{an}} = [0.80 - (-0.25)]\ V = \fbox{\color[RGB]{192,0,0}{\bf 1.05\ V}}



c) La ecuación de Nernst relaciona el potencial de reducción de la pila con la constante de equilibrio:

\color[RGB]{2,112,20}{\bm{E^o_{\text{pila}} = \frac{RT}{nF} \ln K}}

Despejas, sustituyes y calculas:

ln\ K = \frac{E^o\cdot n\cdot F}{RT} = \frac{1.05\ \cancel{V}\cdot 2\cdot 96\ 500\ \cancel{C}\cdot \cancel{\text{mol}^{-1}}}{8.314\ \cancel{J}\cdot \cancel{\text{mol}^{-1}}\cdot \cancel{K^{-1}}\cdot 298\ \cancel{K}}\ \to\ K = e^{81.79}\ \to\ \fbox{\color[RGB]{192,0,0}{\bm{K = 3.32\cdot 10^{35}}}}


Este valor indica que la reacción está muy desplazada hacia la derecha, es decir, que es muy favorable.

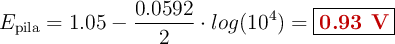
d) Para calcular el potencial al diluir el catión plata vas a volver a usar la ecuación de Nernst, en función del cociente de reacción:

\color[RGB]{2,112,20}{\bm{E_{\text{pila}} = E^o_{\text{pila}} - \frac{0.0592}{n}\cdot log\ Q}}

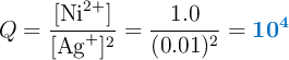
El cociente de reacción es:

Q = \frac{[\ce{Ni^{2+}}]}{[\ce{Ag^+}]^2} = \frac{1.0}{(0.01)^2} = \color[RGB]{0,112,192}{\bm{10^4}}

Como son dos los electrones que se transfieren, el potencial de la nueva pila es:

E_{\text{pila}} = 1.05 - \frac{0.0592}{2}\cdot log(10^4) = \fbox{\color[RGB]{192,0,0}{\bf 0.93\ V}}