Reacciones de neutralización: Volumetría (1625)

, por F_y_Q

Calcula el volumen de ácido perclórico 0.15 M necesario para neutralizar cada una de las siguientes bases:

a) 125 mL de disolución de hidróxido bárico 0.2 M.

b) 0.3 g de hidrogeno(trioxidocarbonato) de sodio

Masas atómicas: C = 12 ; Na = 23 ; H = 1 ; O = 16.

P.-S.

a) Las sustancias que dan lugar a la neutralización son \ce{HClO_4} y \ce{Ba(OH)_2}. Si aplicas la condición de la neutralización, es decir, que los moles de protones tienen que ser los mismos que los moles de hidróxidos, y despejas el volumen de ácido de la ecuación:

V_{\ce{ac}}\cdot M_{\ce{ac}}\cdot n_{\ce{H^+}} = V_{b}\cdot M_{b}\cdot n_{\ce{OH-}}\ \to\ \color[RGB]{2,112,20}{\bm{V_{\ce{ac}} = \frac{V_{b}\cdot M_{b}\cdot n_{\ce{OH-}}}{M_{\ce{ac}}\cdot n_{\ce{H^+}}}}}

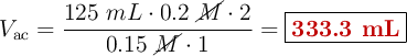
Sustituyes los datos y calculas:

V_{\ce{ac}} = \frac{125\ mL\cdot 0.2\ \cancel{M}\cdot 2}{0.15\ \cancel{M}\cdot 1} = \fbox{\color[RGB]{192,0,0}{\bf 333.3 mL}}


b) En este caso, es necesario que conozcas la reacción que tiene lugar entre ambas especies:

\color[RGB]{2,112,20}{\textbf{\ce{NaHCO3 + HClO4 -> H2CO3 + NaClO4}}}

La masa molecular de la sal es:

M_{\ce{NaHCO3}} = 23\cdot 1 + 1\cdot 1 + 12\cdot 1 + 16\cdot 3 = \color[RGB]{0,112,192}{\bm{84\ g\cdot mol^{-1}}}

Ya puedes calcular el volumen de ácido necesario en un único paso, usando los factores de conversión necesarios para ello:

0.3\ \cancel{\ce{g NaHCO3}}\cdot \frac{1\ \cancel{\ce{mol\ NaHCO3}}}{84\ \cancel{\ce{g\ NaHCO3}}}\cdot \frac{1\ \cancel{\ce{mol\ HClO4}}}{1\ \cancel{\ce{mol\ NaHCO3}}}\cdot \frac{10^3\ \text{mL\ D}}{1\ \cancel{\ce{mol\ HClO4}}} = \fbox{\color[RGB]{192,0,0}{\bf 23.8 mL}}