Reacción química de la fotosíntesis 0001

, por F_y_Q

En la fotosíntesis, el CO_2 de la atmósfera se convierte en O_2 según la reacción:

CO_2 + H_2O\ \to\ C_6H_{12}O_6 + O_2


a) Ajusta la reacción
b) ¿Cuántos gramos de O_2 se obtienen cuando reaccionan 10 L de CO_2 medidos en condiciones normales?

P.-S.

a) \bf 6CO_2(g) + 6H_2O(l)\ \to\ C_6H_{12}O_6(s) + 6O_2(g)
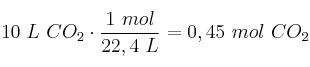
b) Como están medidos en condiciones normales, un mol de cualquier gas ocupa 22,4 L:
10\ L\ CO_2\cdot \frac{1\ mol}{22,4\ L} = 0,45\ mol\ CO_2
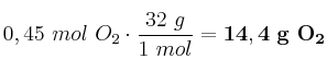
La estequiometría entre el CO_2 y el O_2 es 6:6, es decir, que se obtienen los mismo moles de oxígeno que los que reaccionan de dióxido de carbono.

0,45\ mol\ O_2\cdot \frac{32\ g}{1\ mol} = \bf 14,4\ g\ O_2