Reacción química: ajuste, reactivo limitante y estequiometría (2853)

, por F_y_Q

Disponemos, en un matraz, de 60 g de HCl a los que añadimos 30 g de \ce{Mg(OH)_2} , produciéndose la siguiente reacción:

\ce{HCl +Mg(OH)2 -> MgCl2 + H2O}

a) Ajusta la reacción.

b) ¿Qué reactivo se encuentra en exceso?

c) ¿Cuántos gramos de dicho reactivo permanecerán sin reaccionar al final del proceso?

d) ¿Cuántos gramos de \ce{MgCl_2} se producirán?

Masas atómicas: H = 1 ; Cl = 35.5 ; Mg = 24.3 ; O = 16

P.-S.

a) La reacción ajustada queda como:

\fbox{\color[RGB]{192,0,0}{\textbf{\ce{2HCl +Mg(OH)2 -> MgCl2 + 2H2O}}}}


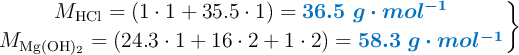
b) Para deducir el reactivo limitante puedes hacer la relación másica entre los dos reactivos. La estequiometría indica que necesitas el doble de masa de HCl que de \ce{Mg(OH)_2}. Las masas moleculares de ambos compuestos son:

\left M_{\ce{HCl}} = (1\cdot 1 + 35.5\cdot 1) = {\color[RGB]{0,112,192}{\bm{36.5\ g\cdot mol^{-1}}}} \atop M_{\ce{Mg(OH)2}} = (24.3\cdot 1 + 16\cdot 2 + 1\cdot 2) = {\color[RGB]{0,112,192}{\bm{58.3\ g\cdot mol^{-1}}}} \right \}

Tomas como referencia la masa de HCl:

60\ \cancel{\text{g HCl}}\cdot \frac{58.3\ \ce{g\ Mg(OH)2}}{73\ \cancel{\text{g HCl}}} = \fbox{\color[RGB]{192,0,0}{\textbf{47.92 g \ce{Mg(OH)2}}}}


Dispones solo de 30 g de \ce{Mg(OH)_}2, por lo tanto, este será el reactivo limitante y el HCl es el reactivo que está en exceso.

c) Haces la relación másica con los 30 g de \ce{Mg(OH)_2}:

30\ \cancel{\ce{g\ Mg(OH)2}}\cdot \frac{73\ \text{g HCl}}{58.3\ \cancel{\ce{g\ Mg(OH)2}}} = \color[RGB]{0,112,192}{\bf 37.56\ g\ HCl}

Esto quiere decir que quedarán sin reaccionar:

(60 - 37.56)\ g = \fbox{\color[RGB]{192,0,0}{\textbf{22.44 g HCl}}}


d) Como reaccionan los 30 g de \ce{Mg(OH)_2} , los tomas como referencia:

30\ \cancel{\ce{g\ Mg(OH)2}}\cdot \frac{95.3\ \ce{g\ MgCl2}}{58.3\ \cancel{\ce{g\ Mg(OH)2}}} = \fbox{\color[RGB]{192,0,0}{\textbf{49.04 g \ce{MgCl2}}}}