Radio que debe tener una estación espacial que crea gravedad artificial (7388)

, por F_y_Q

Calcular el radio r de una estación espacial cilíndrica hueca que gira en torno a su eje longitudinal con velocidad angular \omega para que la aceleración que siente una persona de altura h = 2 m en la cabeza (a_c) sea el 99 \% de la aceleración que siente en los pies (a_p).

P.-S.

Cuando el cilindro gira en torno a su eje longitudinal sigue un movimiento circular uniforme que provoca una aceleración centrípeta. La aceleración centrípeta es:

\left a_{ct} = \frac{v^2}{r} \atop v = \omega\cdot r \right \} \ \to\ \color[RGB]{2,112,20}{\bm{a_{ct} = \omega^2\cdot r}}

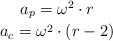
La persona tiene los pies sobre el suelo del cilindro, es decir, a una distancia del eje de rotación igual a r, sin embargo su cabeza está más cerca del eje de rotación. En este caso será una distancia \color[RGB]{2,112,20}{\bf d = (r - 2)} . Las aceleraciones en los pies y en la cabeza son:

\left a_p = \omega^2\cdot r \atop a_c = \omega^2\cdot (r - 2) \right

Para que se cumpla que la aceleración en la cabeza sea el 99 \% que la aceleración en los pies se tiene que cumplir:

\frac{a_c}{a_p} = 0.99\ \to\ \frac{\cancel{\omega^2}\cdot (r - 2)}{\cancel{\omega^2}\cdot r} = 0.99\ \to\ (r - 2) = 0.99r\ \to\ \fbox{\color[RGB]{192,0,0}{\bf r = 200\ m}}