Radio de la trayectoria y periodo de revolución de un electrón que entra en un campo magnético (7186)

, por F_y_Q

Un electrón tiene una energía cinética de 300 eV y se mueve perpendicularmente en un campo magnético de 1.6\ \textstyle{Wb\over m^2} . ¿Cuál es el radio de su trayectoria? ¿Y su periodo de revolución?

Datos: m_e = 9.1\cdot 10^{-31}\ kg ; |q_e| = 1.6\cdot 10^{-19}\ C

P.-S.

Lo primero que puedes hacer es calcular la velocidad con la que el electrón entra en el campo magnético:

E_C = \frac{m}{2}\cdot v^2\ \to\ v = \sqrt{\frac{2E_C}{m_e}} = \sqrt{\frac{2\cdot 300\ \cancel{eV}\cdot \frac{1.6\cdot 10^{-19}\ J}{1\ \cancel{eV}}}{9.1\cdot 10^{-31}\ kg}} = \color[RGB]{0,112,192}{\bm{1.03\cdot 10^7\ \frac{m}{s}}}

La fuerza magnética sobre el electrón tiene que ser igual a la fuerza centrípeta dado que seguirá un movimiento circular uniforme:

q\cdot v\cdot B\cdot \cancelto{1}{sen\ 90} = m_e\cdot \frac{v^2}{R}\ \to\ \color[RGB]{2,112,20}{\bm{R = \frac{m_e\cdot v}{q_e\cdot B}}}

Ahora sustituyes y calculas el radio de la trayectoria:

R = \frac{9.1\cdot 10^{-31}\ kg\cdot 1.03\cdot 10^7\ \frac{m}{s}}{1.6\cdot 10^{-19}\ C\cdot 1.6\ \frac{Wb}{m^2}} = \fbox{\color[RGB]{192,0,0}{\bm{3.66\cdot 10^{-5}\ m}}}


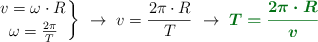
Relacionando la velocidad del electrón con la velocidad angular y radio puedes obtener el periodo:

\left v = \omega\cdot R \atop \omega = \frac{2\pi}{T} \right \}\ \to\ v = \frac{2\pi\cdot R}{T}\ \to\ \color[RGB]{2,112,20}{\bm{T = \frac{2\pi\cdot R}{v}}}

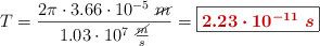
Solo tienes que sustituir en la ecuación anterior y calcular:

T = \frac{2\pi\cdot 3.66\cdot 10^{-5}\ \cancel{m}}{1.03\cdot 10^7\ \frac{\cancel{m}}{s}} = \fbox{\color[RGB]{192,0,0}{\bm{2.23\cdot 10^{-11}\ s}}}