Producto de solubilidad a partir de la solubilidad 0001

, por F_y_Q

Calcula la constante de producto de solubilidad para el cromato de plata (Ag_2CrO_4), si la solubilidad determinada experimentalmente es 27,9 mg/L.

P.-S.

El equilibrio heterogéneo de la sal es: Ag_2CrO_4\ \leftrightharpoons\ 2Ag^+ + CrO_4^{2-}
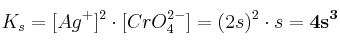
Si llamamos "s" a la solubilidad de la sal podríamos decir que en el equilibrio habrá "2s" de catión Ag^+ y "s" de anión CrO_4^{2-}, por lo tanto el producto de solubilidad sería:

K_s = [Ag^+]^2\cdot [CrO_4^{2-}] = (2s)^2\cdot s = \bf 4s^3


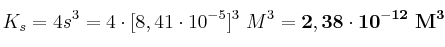
El valor del producto de solubilidad lo podríamos obtener en función de esta expresión pero teniendo en cuenta que debemos escribir la solubilidad en forma de concentración molar:

27,9\frac{mg}{L}\cdot \frac{1\ g}{10^3\ mg}\cdot \frac{1\ mol}{331,73\ g} = 8,41\cdot 10^{-5}\frac{mol}{L}


K_s = 4s^3 = 4\cdot [8,41\cdot 10^{-5}]^3\ M^3 = \bf 2,38\cdot 10^{-12}\ M^3