Problema trabajo 0005
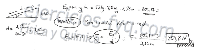
Para subir un mueble de 52 kg de masa al habitáculo de un camión que está a 1,58 m de altura, usamos un plano inclinado de 30º con la horizontal. ¿Qué fuerza hemos de aplicar al mueble si lo subimos con velocidad constante?
Para subir un mueble de 52 kg de masa al habitáculo de un camión que está a 1,58 m de altura, usamos un plano inclinado de 30º con la horizontal. ¿Qué fuerza hemos de aplicar al mueble si lo subimos con velocidad constante?