Problema de energía mecánica (933)

, por F_y_Q

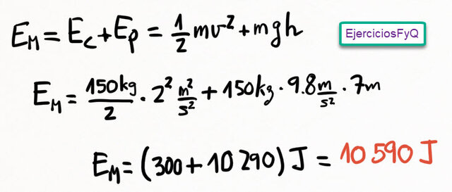
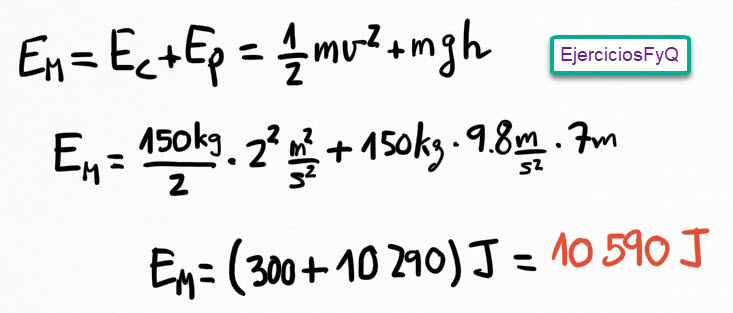
En un espectáculo circense un motorista circula por un cable a 2 m/s y una altura de 7 m, ¿qué energía tiene si la suma de su masa y la de la moto es de 150 kg?

P.-S.

\fbox{\color[RGB]{192,0,0}{\bm{E_M = 10\ 590\ J}}}

RESOLUCIÓN DEL EJERCICIO EN VÍDEO:

Si haces clic en la miniatura puedes ver la resolución manual con más detalle.